卡方检验计算公式-医学统计助手
卡方检验计算公式-医学统计助手
卡方检验应用于两个率或两个构成比比较;多个率或多个构成比比较以及分类资料的相关分析等。分类为独立样本卡方检验和配对样本卡方检验,独立样本卡方检验包括四格表卡方检验和行乘列卡方检验,配对样本卡方检验分为四格表形式的配对资料卡方检验和R×R列联表卡方检验。
手工计算容易出错,大型统计软件操作复杂,个人推荐使用医学统计助手或卡方检验计算器完成卡方检验。
一、四格表卡方检验
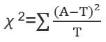
1.基本公式


自由度df=(行数-1)(列数-1)
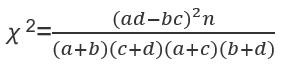
2.专用公式
N≥40 且T≥5

3.连续矫正公式
N≥40 且1≤T<5

4.n<40或T<1用Fisher精确检验
二、行乘列R×C格式卡方检验公式
行乘列卡方检验时,要求不能有20%以上的单元格理论频数小于5,或者不能有任意一个单元格理论频数小于1,否则容易出现偏差。

自由度df=(行数-1)(列数-1)
三、配对资料卡方检验公式
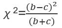
1.b+c≥40

2.b+c<40
连续矫正公式

四、配对资料R×R列联表卡方检验公式

自由度df=k(k-1)/2,如果有对称的两个单元格之和为0,则在公式中排除,自由度也相应的要减少。
五、计算软件
医学统计助手(www.statsas.com)是一款非常简单但功能强大的统计辅助工具。包括基本统计、卡方检验、t检验、z检验、秩和检验、Cochran Q检验、游程检验、方差齐性检验、方差分析、回归分析、相关分析、生存分析、聚类分析、离散分布、样本量估算、随机数和统计图等功能。与专业的大型统计软件相比,操作更简单,非常适合医务人员、教师和学生使用,可以避免计算的失误。软件功能多,功能强大,用户可以轻松上手使用。


-
- 精讲研词13 | 词根——pose
-
2026-01-31 01:23:56
-
- 交通资讯|好消息!西昌新增深圳-西昌-林芝往返航班
-
2026-01-31 01:21:41
-
- 江苏高校2024全国排名,南京大学第六,东南大学第13名
-
2026-01-31 01:19:27
-
- 哈励逊国际和平医院简史
-
2026-01-31 01:17:13
-
- 噶尔丹雄心如成吉思汗,实力强劲无比,为何最后却败给了康熙
-
2026-01-31 01:14:58
-
- 肥城一考生科目一作弊被罚,取消成绩并禁考一年
-
2026-01-31 01:12:44
-
- 冬瓜排骨汤
-
2026-01-31 01:10:30
-
- 阿拉法特的错误:巴勒斯坦苦难的根源,中国曾经苦劝未果
-
2026-01-31 01:08:15
-
- 著名文学评论家雷达去世 享年75岁
-
2026-01-31 01:06:01
-
- 重磅!襄阳高铁公交线路调整!新增多个站点...
-
2026-01-31 01:03:47
-
- 整个江苏都在发人工降雨火箭弹:南京18枚,无锡12枚,苏州10枚
-
2026-01-31 01:01:32
-
- 薛之谦抢占男装市场 创立Dangerous People男装品牌
-
2026-01-31 00:59:18
-
- 网友建议开通商城县至金寨高铁站班车,途径梅山,你赞成吗?
-
2026-01-31 00:57:04
-
- 速来围观,老司机讲解星月菩提佩戴需要注意哪些事项
-
2026-01-31 00:54:49
-
- 适合单人拍照的8种姿势,简单又不做作,拍出各种美
-
2026-01-31 00:52:35
-
- 北美负鼠奇特“装死系统”,并不是随意装死,若被惊吓就自动启动
-
2026-01-30 09:18:23
-
- 2022励志头像已做好,40张加油精致个性头像壁纸,快收藏吧
-
2026-01-30 09:16:08
-
- 中国超级工程“红旗河”,到底是怎样逆天的计划?
-
2026-01-30 09:13:54
-
- 天蝎座男生的性格怎么样,他到底渣不渣?
-
2026-01-30 09:11:40
-
- 蜀汉大司农——秦宓
-
2026-01-30 09:09:25



《王者荣耀》英雄原画汇总:曾经的女英雄才叫媚
陈冠希当年到底有多受欢迎,看完和这些女星的合照就知道了
萝莉更好追?日媒揭秘日本“萝莉控”众多原因
罗志祥多人运动什么梗?罗志祥与辣妹泳池轰趴大尺度照片
王羽逝世:“独臂刀王”的10部电影,从《独臂刀》到《龙虎斗》
突厥族(突厥族是现在的哪个族群)
《狂飙》都要喊祖师爷的5部顶级扫黑反腐剧,你追过几部?
为什么20岁出头的小男生,会喜欢40岁的中年女人?其实很正常
真人版《画江湖之不良人》开播,三版人物对比,新版男主驼背尴尬
“每一句都很甜蜜”,哄女生起床的情话95句,开启美好一天!